南方网讯(记者/柯丹洁)2023年夏季普通高校招生录取工作于7月9日正式开始。刚刚,广东省教育考试院官微公布最新消息,广东省招生办对提前批普通类的空军、海军招飞院校和军检院校,以及提前批独立设置本科艺术院校(含参照)及经批准的院校(专业)的统考+校考类别进行了投档录取。
录取结果会根据招生院校录取进度情况陆续公布,考生可于7月11日下午17:00开始查询已结束录取的院校录取结果。
四种录取查询方式:
第一,微信查询方式,考生可关注省教育考试院微信公众号,在页面底部选择“小程序”栏,通过考生号和密码登录即可查询考生录取结果;
第二,手机短信推送方式,省教育考试院将通过号码10639678或10692315731向已录取考生在高考志愿填报系统绑定的手机号码推送录取结果;
第三,百度小程序查询方式,通过百度App搜索“广东省教育考试院”,打开“广东省教育考试院—官方小程序”,点击“录取结果”,按栏目指引即可查询录取结果;
第四,粤省事小程序查询方式,考生可通过“粤省事”小程序查询录取结果。
柯大侠3点提醒:
投档是省考试院的事,录取是高校的事。
1.看完投档分数线,如果考生分数达到了高校投档分数线,也可通过高校官微查询录取结果;
2.如果直到下一个批次开始投档,考生仍然无法查到录取结果,则很大可能没被录取到;
3.如果没被提前批次录取,等待下一个类别投档结果即可。
其它批次(类别)投档时间:
根据招生录取工作日程安排,提前批独立设置本科艺术院校(含参照)及经批准的院校(专业)的统考合格类别和非军检院校将分别于7月12日和13日开始正式投档。普通类本科院校为7月16日-24日;普通类专科院校为8月2日-6日。
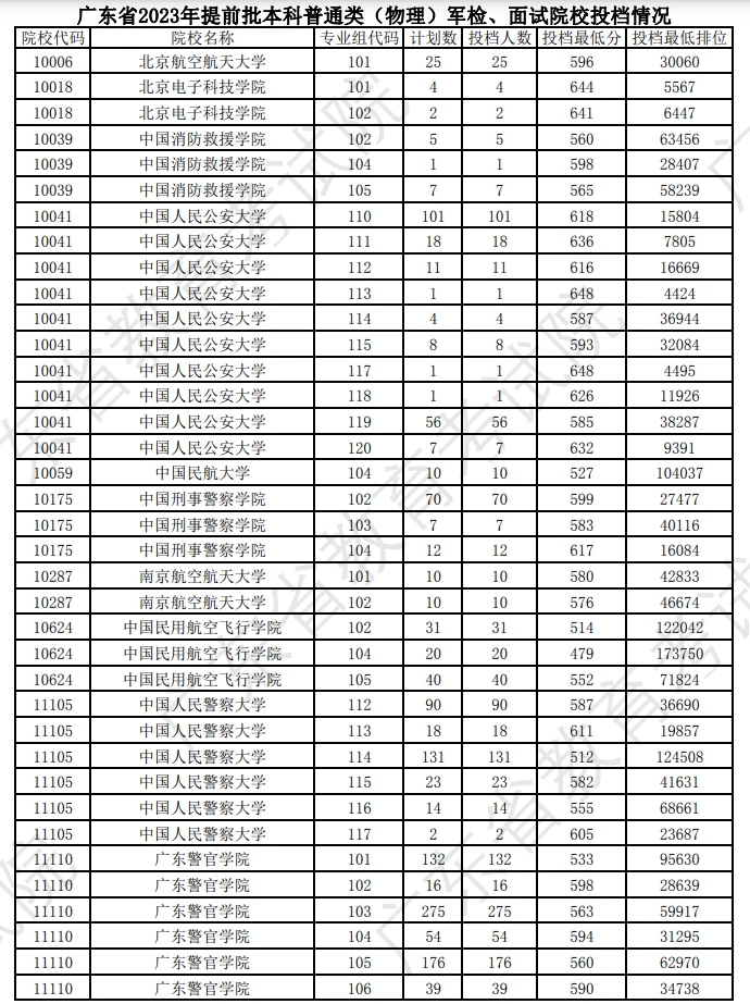
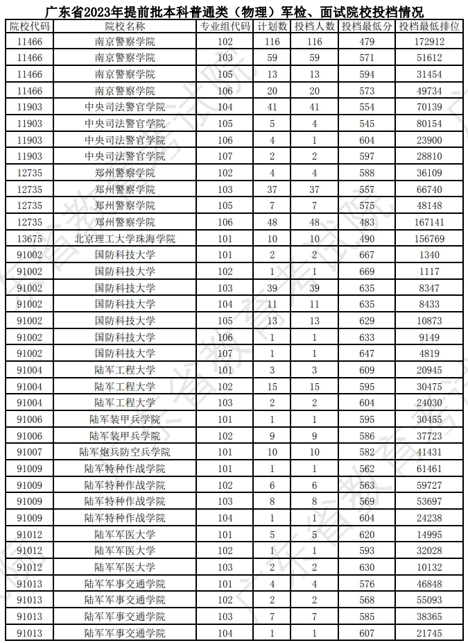
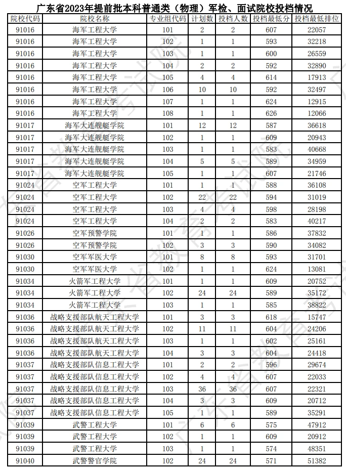
广东省2023年提前批空军、海军招飞院校和军检院校投档情况如下:








