fun
buzzdaily
教育新闻
政策动态
教育观点
学习资源
在线课程
学习技巧
外语学习
职业教育
名校动态
家庭教育
海外账户(店)
登录
注册
怎么帮助改善穷人的生活
授人以鱼不如授人以渔,授人以渔不如授人以欲,所以重要的是让穷人有想富的,之后是教授一些能致富的方法,措施呢,就是引进好的项目,让穷人在产业链上有发展的和空间平台! 本文我们将从以下几个部分来详细介绍如何帮助改善穷人的生活:直接行动、通过宣传帮助贫困人群、7 参考 贫困是世界面临的急需解决的问题之一。无论引起贫困的原因是什么,我们都应该在扶贫方面贡献自己的一份力量。其实,你能为穷人做的事有很多
在线课程
2025-11-11
3 阅读
怎么提高英语沟通技巧
提高英文的沟通技巧,都需要不断地去历练去学习。都需要熟能生巧。 这样才会做的更好。更多的是需要彼此沟通交流,互动。 本文我们将从以下几个部分来详细介绍如何提高英语沟通技巧:提高口语技巧、提高听力、提高写作技能、6 参考 在当今这个时代,扎实的英语技能是必须的。英语成为世界语言,我们所有人都得跟上。如果你已经学英语一段时间,却还是无法轻松地用英语沟通,要怎么克服这段学习低迷期?你需要一点巧思和毅力
在线课程
2025-11-11
3 阅读
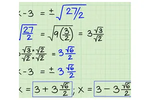
怎么解二次方程
有三种方法: 一、配方法 二、因式分解法 三、公式法 举例如下: x²-4x+3=0 方法一: (x-2)²-4+3=0 (x-2)²-1=0 (x-2)²=1 x-2=±1 x1=3 x2=1 方法二: (x-1)(x-3)=0 x1=1 x2=3 方法三: x=[4±√(-4)²-4×3]/2 x=(4±2)& 本文我们将从以下几个部分来详细介绍如何解二次方程:因式分解法、用二次公式
在线课程
2025-11-11
3 阅读
怎么用意大利语打招呼
最简单的就是Ciao,还有Salve,这俩词告别的时候也可以用。 早上好Buongiorno,下午好Buon pomeriggio(这个一般不太用,只要天还没黑都用Buongiorno,天黑了就用Buona sera。),晚上好Buona sera,晚安Buona notte。 本文我们将从以下几个部分来详细介绍如何用意大利语打招呼:标准的打招呼、特殊情境问好用语、附加打招呼法
在线课程
2025-11-11
3 阅读
怎么记起以前的事情
以前有一些事情是突然之间就想不起来的,所以无论很多事情,想不起来就不要想了,过了一段日子,自然就会想起来的。 本文我们将从以下几个部分来详细介绍如何记起遗忘的事情:提示自己的记忆、强化记忆、11 参考 你有没有过进入房间,却忘了自己要干什么的经历?又或者是话到嘴边,却忘了要说什么?大脑负责获取、处理和存储大量信息,但有时候,我们可能因为大脑运作过程中的某些差错而忘记一些事情
在线课程
2025-11-11
3 阅读
怎么表现得聪明
越是聪明的人越难成功,聪明不能算什么,上天给了你聪明,同时也会给你其他的缺陷,如骄傲,狂,心浮气躁等. 所以说人人是相等的. 表现上的聪明是一时的,那并不是真正的聪明.所以根本不要在意.且你的人生目标不是和他比聪明吧,只要脚踏实地的做事,成功 本文我们将从以下几个部分来详细介绍如何表现得聪明:掌握交谈技巧、睿智地思考、做该做的事、5 参考 谁都想变得聪明,但大多数人只是中庸而已
在线课程
2025-11-11
3 阅读
用小苏打和醋怎么“吹”气球
因为反应会产生CO2,CO2气体可以吹气球。 Na2CO3+2CH3COOH=2CH3COONa+H2O+CO2↑ 本文我们将从以下几个部分来详细介绍如何用小苏打和醋“吹”气球:气球充气、原理 本文将介绍如何利用常见的烹调辅料——醋和小苏打——“吹”气球。利用这两种原料进行化学反应所生成的二氧化碳使气球充气。由于生成物中没有氦气,因此气球并不能悬于空中。部分 1气球充气 走在自己的路上,宠辱不惊
在线课程
2025-11-11
3 阅读
怎么将英寸换算为厘米
1英寸(in)=2.54厘米(cm)。 1、英寸(吋)是使用于联合王国(UK,即英国(英联邦)及其前殖民地的长度单位,一般为1in=2.54cm,在英制里,12英寸为1英尺,36英寸为1码。 2、厘米是一个长度计量单位,等于一米的百分之一。长度单位,英语符号即缩写为 本文我们将从以下几个部分来详细介绍如何将英寸换算为厘米:通过简化步骤换算、通过详细的过程换算
在线课程
2025-11-11
3 阅读
怎么提高心算能力
象棋具有丰富的变化和内涵,要想学好像棋,必然要经历一个由不会到会,由知之较少到知之较多的过程。在这个学习过程中需要付出一定的时间和精力,也就是我们常说的「一分耕耘,一分收获」,倘若学习内容安排合理,方法得当,取得迅速进步或事半 本文我们将从以下几个部分来详细介绍如何提高心算能力:利用心算技巧、通过学习和练习提高心算能力、在买东西时进行心算练习、16 参考
在线课程
2025-11-11
3 阅读
怎么训练开放性思维
开阔视野、开拓思路。 ①从封闭性思维转向开放性思维。 有个外商到河南某市考察,问接待人员:“你们这里有机场吗?”“没有。”“有旅游的地方吗?”“有个水库,没啥玩头。”外商的脸上晴转多云。 外商又到与该市相邻的城市。同样问题有不同回“有大 通过创新思维或者经历新的刺激,来进行一个小时的脑力提高活动,可以让你变得更聪明,更有精力,更有创造性,更善于交际,而且更乐于接受新的体验、新的思考方式。关键是
在线课程
2025-11-11
3 阅读
First page
Previous page
1
...
952
953
954
...
1000
Next page
Last page
教育前沿网
广告位(宽100%,高80px)
广告位(宽100%,高80px)
广告位(宽100%,高80px)
推荐文章
无推荐文章
热门文章
兰州外语职业学院2025年专业录取分数线:护理最低171分
163阅读
云南特殊教育职业学院2025年录取分数线是301分
106阅读
国务院联防联控机制综合组部署做好全国高校学生离校返乡疫情防控工作
54阅读
全国高校守正创新打造新时代思政“金课”——让更多学生爱上“真理的味道”
54阅读
渤海大学和沈阳大学,哪一所大学办学实力更强?这篇文章分析得清清楚楚
52阅读
2022年中级会计职称有补贴吗(关于会计证书补贴通知,全国多地可领取)
52阅读
株洲市四中教育集团举行春季开学教职工大会
52阅读
高校学生怎么返乡?集中隔离是否免费?相关安排来了
51阅读
二级造价师能负责多少造价(二级造价用处到底大不大呢?)
50阅读
中国CFA考试网:助力CFA考生圆梦金融界
50阅读
文章分类
教育新闻
学习资源